

(1) 전도에 의한 열전달



여기서 A : 단면적(m2)
: 물체의 미소 구간
: 온도차
: 미소 시간 그림
Ⅲ-4 물체면의 온도 분포
: 흐르는 열
: 열전달 속도
: 비례 상수(열전도도)



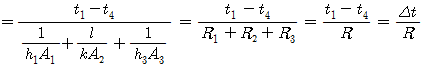
여기서
: 추진력
: 열저항
그림 Ⅲ-5 단층 벽을 통한 열전도도

추운 겨울에 두께가 3mm인 유리창 안쪽의 실내 공기가 25℃이고 바깥쪽의 공기가 5℃라면 이 때, 유리창을 통한 열손실량은 얼마인가?(단 유리의 열전도도는 0.72W/m·℃ 이다.)

,
,
,
, ![]()
![]()

열전도도가 0.488W/m·℃인 균일 물질로서, 두께 20cm, 넓이가 10 m2인 가열 가마의 벽이 있다. 이 벽의 내면 온도가 300℃, 외면 온도가 50℃라 할 때, 이 벽면의 열저항과 열손실량을 구하여라?.

에서
![]()
따라서
열저항 ![]()
열손실 ![]()



그림 Ⅲ-6 여러 층의 벽을 통한 열전도도

두께가 300mm인 내화 벽돌과 두께 100mm의 석면판으로 된 이중벽이 있다. 벽돌의 안쪽 온도가 1,000℃이고 석면판 바깥쪽 온도가 50℃라면 이 벽 1m2당 손실된 열량을 구하여라.(단, 벽돌과 석면의 열전도도는 0.5W/m·℃, 0.05W/m·℃)

식을 이용한다.
![]()
![]()
![]()
이 값들을 위의 식에 대입하면 ![]()

내화 벽돌, 단열 벽돌 및 붉은 벽돌의 세 층의 벽돌로 만든 가마벽의 안쪽의 온도를 1,273K로 유지시키면서 열손실을 800W/m2로 하려고 한다. 이 때, 각 벽돌의 두께를 얼마로 하는 것이 좋겠는가?
다만, 내화 벽돌, 단열 벽돌 및 붉은 벽돌의 열전도도는 각각 1.0, 0.2, 0.5W/m․℃이고, 단열 벽돌의 안전 사용 온도는 1,073K, 붉은 벽돌의 바깥 온도는 356K, 붉은 벽돌의 두께는 15cm이다.

정상 상태에서 단위 넓이에 대한 열전도를 생각한다. 이 때의 접촉 저항은 무시해도 좋으므로
이므로
![]()
1) 내화 벽돌 두께
![]()
![]()
2) 단열 벽돌과 붉은 벽돌의 접촉 온도
![]()
![]()
3) 단열 벽돌의 두께



![]()
또는


안쪽 반지름 200mm, 바깥쪽 반지름 300mm인 원통벽이 있다. 이 원통벽의 안쪽 온도가 900℃이고 바깥쪽 온도가 300℃일 경우 원통 1m당의 열손실을 구하여라.(단, 원통벽의 열전도도는 0.5W/m℃이다.)

에서
![]()
![]()
이므로 산술 평균을 사용한다.
![]()
![]()
따라서
![]()

바깥 반지름이 5cm인 강철관의 외부를 8cm 두께의 석면으로 감고, 그 외부를 다시 4cm 두께의 코르크로 감아서 최대한 외부로의 열손실을 막으려 한다. 강철관 외부의 온도가 300℃이고, 코르크층 외부의 온도가 30℃라고 하면, 이 원통관 1m당 열손실 속도는 얼마인가? 또, 석면층과 코르크층 사이의 온도는 얼마인가?(단 석면과 코르크층의 열전도도는 0.965 및 0.500W/m℃이다.)

강철관의 열손실을 고려하지 않으므로 석면층을 1, 코르크층을 2라 하면
석면층 : 안쪽
반지름
,
바깥 반지름 ![]()
코르크 층 : 안쪽 반지름
바깥 반지름
따라서
석면층의 평균 반지름
이므로 지수 평균을 사용한다.

석면층의 평균 열전달 넓이 ![]()
석면층의 저항
![]()
코르크층의 평균 반지름
이므로 산술 평균을 사용한다.
코르크층의 평균 열전달 넓이 ![]()
코르크층의 저항
![]()
열손실량
는
![]()
석면층과 코르크층 사이의 온도를
라 하면
에서
이다.
그러므로 경계면 온도
이다.
(2) 대류에 의한 열전달


![]()
열저항 관계 바꾸면
그림
Ⅲ-8 관벽과 유체 사이에서의 열전달에 의한 온도 분포



그림
Ⅲ-9 고체 벽을 통한 두 유체간의 열전달

여기서
:
뜨거운 유체, 찬 유체의 각 접촉 넓이(m2)
: 각
유체와 금속 벽과의 접촉 넓이의 평균값(m2)
: 금속
고체의 벽 두께(m)
: 금속
고체의 열전도도(W/m·℃)
표 Ⅲ-1 여러 가지 물질의 경막 열전달 계수
|
물질(형태) |
경막 열전달 계수(W/m·℃) |
|
수증기(과열) 수증기(방울형 응축) 수증기(피막형 응축) 물(끓는 물) 물(가열, 냉각) 유기물 증기(응축) 기름(가열, 냉각) 공기(가열, 냉각) |
30 ~ 100 30,000 ~ 100,000 6,000 ~ 20,000 1,700 ~ 50,000 300 ~ 20,000 1,000 ~ 2,000 50 ~ 1,500 1 ~ 50 |


: 총괄
열전달 계수(
)
![]()
: 총괄 열전달 계수
와 경막 열전달
계수
와의 관계를 나타낸 식
표 Ⅲ-2 열교환기에서의 총괄 열전달계수(W/m2℃)
|
유체의 종류 |
자연 대류 |
강제 대류 |
장치의 예 |
|
물-물 물-공기 물-소금물 물-기름 물-수증기 물-기체 기름-기름 수증기-기름 유기 중기-물 수증기-공기 기체-기체 묽은 액체-고온 가스 |
260 ~ 340 6 ~ 12 110 ~ 340 28 ~ 110 280 ~ 1,100 6 ~ 17 28 ~ 57 57 ~ 170 220 ~ 450 6 ~ 12 3 ~ 12 6 ~17 |
850 ~ 1,700 12 ~ 57 280 ~850 140 ~ 340 850 ~ 4,500 12 ~ 57 110 ~ 280 110 ~ 340 340 ~ 850 12 ~ 57 12 ~ 35 12 ~ 58 |
가열기 열수의 공기 냉각 소금물 냉각 가열기 가열기 보일러 가열기 가열기 응축기 공기 중의 증기관 가열기 증발기 |


안지름 50mm, 바깥지름 54mm인 원관에 액체가 흐르고 바깥쪽에서 가스로 가열하고 있다. 원관 안쪽 액체 측의 경막 계수가 500W/m2·℃이고 원관 밖의 기체 측의 경막 계수는 40W/m2·℃이며, 강관의 열전도도는 60W/m℃이다. 총괄 열전달 계수를 구하여라.

,
,
![]()
이므로

따라서, 총괄 열전달 계수
이다


물에 의해 원관 내를 흐르는 공기를 냉각하는 공기 냉각기가 있다. 이 냉각기는 안지름이 50mm, 두께가 2mm인 강관이다. 원관 안쪽 공기측의 경막 계수가 35W/m2·℃이고, 원관 밖의 물측 경막 계수는 600W/m․2℃이며, 강관의 열전도도는 45W/m2·℃이다. 총괄 열전달 계수를 구하여라.
,
,
![]()
이므로



수증기로 가열하는 가열 넓이 0.5m2인 이중 반응기에서 액상 반응을 시키고 있다. 반응물은 교반기로 교반해 주면서 반응 적정 온도인 75℃을 유지해 주기 위하여 125℃의 포화 수증기를 공급하고 있다. 반응열과 열손실을 무시할 경우, 열공급 속도를 구하여라.(단, 경막 계수는 수증기측이 7,000W/m2․℃, 반응물측이 3,500W/m2․℃이며, 반응기의 금속 벽의 저항은 무시한다.)


에서
이므로
![]()
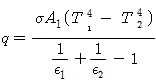
(3) 복사에 의한 열전달



![]()
: 스테판-볼쯔만 상수[
= 5.67× 10-8(W/m2·K4)]
는 0 <
< 1로서 표면의 상태와 온도에 따라 다른 값


그림 Ⅲ-10 두 물체 표면에서의 복사


그림 Ⅲ-11 물체가 벽으로 둘러싸였을 때의 복사
![]()
![]()

무한히 평행한 두 개의 흑판이 있다. 각각의 표면 온도가 500℃, 900℃일 때 복사에 의한 단위 넓이 당 열전달량을 계산하여라.

에서
이므로
T1 = 900 + 273.15 = 1173.15K
T2 = 500 + 273.15 = 773.15K
A1 = 1이므로