![]()
5´Þ·¯Â¥¸® ÀÚÀü°Å


(1) Á÷°ü¿¡¼ÀÇ ¼Õ½Ç

±×¸² ¥±-8 Á÷°ü¿¡¼ÀÇ ¼Õ½Ç
: À¯Ã¼ÀÇ ¹Ðµµ[kg/m3]![]()
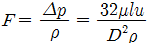
À̽ÄÀ» ÆÐ´×ÀÇ ½Ä¿¡ ´ëÀÔÇϸé
-: À̽ÄÀ» ÇϰÕ-ÇÁ¿ÍÁËÀ¯(Hagen-Poiseuilli)ÀÇ ½Ä - Ãþ·ù È帧¿¡ Àû¿ë
![]()

±×¸² ¥±-9 ·¹À̳îÁî¼ö¿Í ¸¶Âû °è¼ö µµÇ¥

ºñÁßÀÌ 0.8, Á¡µµ°¡ 15p(ÇÁ¾ÆÁî)ÀÎ ±â¸§ÀÌ ¾ÈÁö¸§ 13cmÀÎ °ü ¼ÓÀ» 60cm/sÀÇ ¼Óµµ·Î È帣°í ÀÖ´Ù. ÀÌ À¯Ã¼¸¦ Á÷¼±°ü 15m±îÁö ¼ö¼ÛÇÒ ¶§, ¾Ð·Â ¼Õ½ÇÀº ¾ó¸¶Àΰ¡?

·¹À̳îÁî¼ö¸¦ ±¸Çϸé
![]()
Ãþ·ùÀ̹ǷΠ¸¶Âû °è¼ö
°¡ µÈ´Ù.
¸¶Âû ¼Õ½ÇÀ» ±¸Çϸé
![]()
¾Ð·Â ¼Õ½ÇÀº ![]()
(2) °ü ºÎǰ¿¡¼ÀÇ ¼Õ½Ç

±×¸² ¥±-10 °ü ºÎ¼Óǰ°ú ±âŸ ¹ëºê
¸¦ ±¸Çؼ Á÷°ü°ú °°ÀÌ ÆÐ´×ÀÇ ½ÄÀ» ÀÌ¿ëÇÏ¿© °è»ê
±×¸² ¥±-11 °ü ºÎǰ¿¡¼ÀÇ ¼Õ½Ç
![]()
Ç¥ ¥±-2 »ó´ç ±æÀ̸¦ ±¸ÇÏ´Â °è¼ö n


(3) ±ÞÃà¼Ò, ±ÞÈ®´ë¿¡¼ÀÇ ¼Õ½Ç
±×¸² ¥±-12 ±ÞÃà¼Ò, ±ÞÈ®´ë¿¡¼ÀÇ ¼Õ½Ç

: ´Ü¸éÀûÀÌ ÀÛÀº ÂÊÀÇ À¯¼Ó(À¯¼ÓÀÌ ºü¸¥ ÂÊ)
: È®´ë ¼Õ½Ç °è¼ö 
= Ãà¼Ò ¼Õ½Ç °è¼ö, Ãþ·ù :
<0.1À̹ǷΠ¹«½Ã
³·ù : 

°üÀÇ ±æÀ̰¡ 10mÀÌ°í ¾ÈÁö¸§ÀÌ 27 mmÀÎ °ü µµÁß¿¡ 90o ¿¤º¸ 2°³, ±Û·Îºê ¹ëºê 1°³°¡ ÀÖ´Ù. ÀÌ °ü·ÎÀÇ »ó´ç ±æÀ̸¦ °í·ÁÇÑ Àü ±æÀ̸¦ ±¸ÇÏ¿©¶ó.

D = 0.027m, Ç¥·ÎºÎÅÍ 90o ¿¤º¸ n=30, ±Û·Îºê ¹ëºêÀÇ n = 45, Àü °ü ºÎ¼ÓǰÀÇ n = 30 x 2 + 45 = 105
Le = (105)(0.027) = 2.835m
Àü ±æÀÌ L = Ls + Le = 10 + 2.84 = 12.84 m
Áï °ü ºÎ¼Óǰ¿¡ ÀÇÇÏ¿© ÀÌ °üÀº ±æÀ̰¡ 10m°¡ ¾Æ´Ï¶ó 12.84mÀÎ °ü À¸·Î º¼ ¼ö ÀÖ´Ù.
±«·Î¿öÇÔÀ¸·Î½á »ç¶÷Àº ´õ¿í °ÇØÁø´Ù.