



- Æò±Õ À¯¼Ó°ú ºÎºÐ À¯¼ÓÀ» ÃøÁ¤ÇÏ´Â ¿ø¸®¸¦ ¼³¸íÇÒ ¼ö ÀÖ´Ù.
- À¯·®°èÀÇ ¿ø¸®¿Í Á¾·ù¸¦ ¼³¸íÇÒ ¼ö ÀÖ´Ù.

(1) Æò±Õ À¯¼ÓÀÇ Á¤ÀÇ
- À¯¼Ó : ´ÜÀ§ ½Ã°£¿¡ À̵¿ÇÑ °Å¸® ´ÜÀ§´Â m/s
- Æò±Õ À¯¼Ó(mean velocity) : °üÀÇ ´Ü¸é»óÀÇ °¢Á¡¿¡¼ÀÇ ´Þ¶óÁø À¯¼ÓÀ» Æò±ÕÇÑ °ª
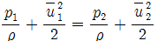
(2) ÇÇÅä°ü(Pitot tube)¿¡ ÀÇÇÑ ºÎºÐ À¯¼Ó ÃøÁ¤

±×¸² ¥±-4 ÇÇÅä°üÀÇ ¿ø¸®
- ±¹ºÎ ¼Óµµ¸¦ ÃøÁ¤ÇÒ ¼ö ÀÖ´Â ÀåÄ¡
- ±×¸² ¥±-4°ú Áß½ÉÀÌ °°Àº 2Áß ¿ø°üÀ¸·Î µÇ¾î ÀÖÀ¸¸ç, ¿Ü°üÀÇ ³¡ºÎºÐ¿¡´Â È帧ÀÌ ¼öÁ÷À¸·Î ÀÛÀº ±¸¸ÛÀÌ ¶Õ¿© ÀÖ´Ù. µû¶ó¼ ³»°ü¿¡¼´Â À¯Ã¼¿îµ¿ÀÇ µ¿¾Ð, ¿Ü°ü¿¡¼´Â Á¤¾ÐÀ» ÃøÁ¤Çϵµ·Ï µÇ¾î ÀÖ°í, À̰ÍÀ» °¢°¢ ¸¶³ë¹ÌÅÍÀÇ µÎ ³¡¿¡ ¿¬°áÇÏ¿© ¾Ð·ÂÀÌ Â÷¸¦ ÀÐÀ½
- È帧ÀÇ ¼Óµµ±¸¹è°¡ ÀÖÀ» °æ¿ì ÇÇÅä°üÀÇ À§Ä¡¿¡ µû¶ó µ¿¾ÐÀÌ º¯ÇÒ °ÍÀ̹ǷΠ±× ºÎºÐ¿¡¼ÀÇ ±¹ºÎÀ¯¼Ó(local velocity)¸¸À» ÃøÁ¤
- ÇÇÅä°üÀº º¸Åë °ü·Î ³»ÀÇ À¯¼Ó ºÐÆ÷ÀÇ ÃøÁ¤¿¡ »ç¿ëµÇ³ª, ¼³ºñ°¡ °£´ÜÇÏ°í µÎ¼Õ½Çµµ Àû¾î¼ Á÷°æÀÌ Å« °üÀÇ À¯¼Ó ÃøÁ¤¿¡ Àß ÀÌ¿ëµÈ´Ù. ƯÈ÷ ºñÇà±âÀÇ ¼Óµµ, ¼ö·Â ¹ßÀü¼ÒÀÇ ¼ö·® ÃøÁ¤, ¼Ûdz±âÀÇ Ç³·® ÃøÁ¤ µî¿¡ ¸¹ÀÌ »ç¿ë
- À¯Ã¼°¡ ±âüÀÎ °æ¿ì¿¡´Â ÀϹÝÀûÀ¸·Î µ¿·ÂÀÌ Àû¾îÁ®¼ 0.1 m/s ÀÌÇÏÀÇ À¯¼ÓÀÇ ÃøÁ¤Àº °ï¶õ

22¡É, 1atm¿¡¼ °ø±â(¹Ðµµ 1.21kg/m3)°¡ µµ°£À» È帣°í ÀÖ´Ù. ÇÇÅä°üÀ» µµ°üÀÇ Á߽ɺο¡ ¼³Ä¡ÇÏ°í ¹°À» ºÀ¾×À¸·Î ÇÑ UÀÚ°ü ¸¶³ë¹ÌÅÍÀÇ Â÷¾ÐÀ» ÀÐÀ¸´Ï 5.4cm ¿´´Ù. Á߽ɺÎÀÇ Ç³¼ÓÀ» ±¸ÇÏ¿©¶ó.


¹°ÀÌ È帣´Â ¾ÈÁö¸§ 25mm °ü·Î Á߽ɿ¡ ÇÇÅä°üÀ» ¼³Ä¡Çϰí ÇÇÅä°ü¿¡ ¿¬°áµÈ ¸¶³ë¹ÌÅ͸¦ º¸´Ï ¾Ð·Â Â÷À̰¡ 65.8mm¿´´Ù. UÀÚ°ü ¸¶³ë¹ÌÅÍÀÇ ¾×Àº »ç¿°Èź¼Ò(ºñÁß 1.6)¿´´Ù. Æò±Õ À¯¼ÓÀº ¾ó¸¶Àΰ¡?(´Ü ¿Âµµ´Â ¹«½ÃÇÑ´Ù.)

(3) À¯·® ÃøÁ¤¹ý
- À¯·®À» ÃøÁ¤ÇÏ´Â ÀÏÀº Á¦Á¶ ÇÁ·Î¼¼½º¸¦ Á¶ÀýÇÏ°í ¿øÈ°È÷ ¿îÀüÇϴµ¥ ÀÖ¾î¼ °¡Àå ±âº»ÀûÀÎ ¿ä°Ç
- ÈÇÐ °øÀå¿¡¼´Â ±âü, ¾×üÀÇ À¯·® ÃøÁ¤ÀÌ Áß¿ä
- À¯·® ÃøÁ¤ ¹æ¹ý
- Á÷Á¢¹ý : À¯Ã¼ÀÇ ¿ëÀû°ú Áú·®À» Á÷Á¢ °è·®ÇÏ´Â ¹æ¹ý - ½À½Ä °¡½º¹ÌÅÍ, ÇǽºÅæÇü ¼ö·®°è, ȸÀü¿øÆÇÇü ¼ö·®°è
- °£Á¢¹ý : À¯¼Ó¿¡ °ü°èµÇ´Â ´Ù¸¥ ¾çÀ» ÃøÁ¤Çؼ À¯·®À» ±¸Çϰí À̷κÎÅÍ À¯·®À» »êÃâÇÏ´Â ¹æ¹ý - ¿À¸®Çǽº À¯·®°è, ³ëÁñ À¯·®°è, º¥Åõ¸® À¯·®°è, À§¾î(weir)
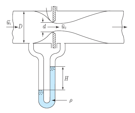
- ´Ü¸éÀûÀÌ Á¼Àº ¸ñ(throat) ºÎºÐÀ» ¸¸µé°í À̰÷¿¡¼ À¯¼ÓÀÌ º¯ÇÏ¿© ³ªÅ¸³ª´Â ¾Ð·Â Â÷À̷κÎÅÍ À¯·® ÃøÁ¤
- ¿À¸®Çǽº À¯·®°è¿¡ ºñÇÏ¿© µÎ ¼Õ½ÇÀÌ Àû¾î °è±â·Î¼´Â ÀÌ»óÀûÀ̳ª ¼³Ä¡ÇÏ´Â µ¥ °ø°£À» ¸¹ÀÌ Â÷ÁöÇÏ°í °ªÀÌ ºñ½Ñ Á¡ÀÌ °áÁ¡

±×¸² ¥±-5 º¥Åõ¸® À¯·®°èÀÇ ¿ø¸®
- ½ÇÁ¦ À¯·®Àº À¯Ã¼°¡ È帣´Â °ü ³»ÀÇ ¸¶ÂûÀ̳ª ÀúÇ× µîÀÇ ¼Õ½ÇÀÌ Àֱ⠶§¹®¿¡ À¯·® °è¼ö(
)¸¦ °öÇÏ¿© º¸Á¤

:º¥Åõ¸® À¯·® °è¼ö, ·¹À̳îÁî ¼ö°¡ 10,000ÀÌ»óÀ̸é ÀϹÝÀûÀ¸·Î 0.97 ~ 0.99

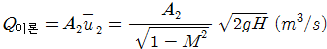
- °ü ¾È¿¡ ¿À¸®Çǽº°¡ ÀÖ´Â ¾ãÀº ÆÇÀ» ¼³Ä¡ÇÏ¿©, À¯Ã¼¸¦ Åë°úÇϵµ·Ï ÀåÄ¡

±×¸² ¥±-6 ¿À¸®Çǽº ¹ÌÅÍÀÇ ¿ø¸®
´Â ¿À¸®Çǽº À¯·®°è¼ö, ·¹À̳îÁî¼ö¿¡ µû¶ó ´Ù¸¥ °ªÀ» ÀÌÁö¸¸ ·¹À̳îÁî¼ö°¡ 30,000ÀÌ»óÀ̸é 0.61Á¤µµ


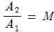
±×¸² ¥±-7 ·ÎÅÍ ¹ÌÅÍÀÇ ¿ø¸®
- »ç¿ëÇϱâ´Â ¸Å¿ì °£´ÜÇϳª, ¿Âµµ ¹× ¾Ð·ÂÀÇ ¿µÇâÀ» ¹ÞÀ¸¸ç °ªÀÌ ºñ½Î°í, »ç¿ëÇÏ´Â À¯Ã¼ÀÇ Á¾·ù¿Í »óÅ¿¡ µû¶ó ¼ö½Ã·Î Á¡°ËÇØ¾ßÇÏ´Â °áÁ¡

