

이것밖에 안되는 사이였니? 1분 35초


석유 화학 산업과 제품

석유 화학 제품
(1) 석유 화학 공업의 기초 유분

- 석유 화학 공업의 중요한 제 1차 원료이며, 약 절반이 폴리에틸렌의 제조에 사용
- 에틸렌을 산소와 반응시켜 각종 석유 화학 제품의 원료인 산화에틸렌을 만들고. 염소와 반응시켜서 플라스틱의 원료인 염화바이닐을 제조, 만든 염화바이닐은 폴리염화바이닐의 단위체 (monomer)
- 폴리염화바이닐은 본래 아세틸렌을 원료로 하여 만들어 왔으나 석유 화학의 발달에 따라서 에틸렌을 원료로 하는 방법 변경됨
- 에틸렌을 브롬과 반응시켜 다이브로모에테인으로 만틀어서 가솔린에 대한 노킹 방지제로 쓰이기도 하고 벤젠과 반응시켜서 스타이렌으로 만들어 중합해서 폴리스타이렌을 만들기도 하는 등 여러가지 합성 화학 원료로 이용

- 에틸렌과 함께 석유 화학 공업의 대표적인 기초 유분
- 나프타가 열분해할 때 생성되는 유분으로부터 분리하거나 열분해나 집촉 분해의 부생 가스로부터 회수
- 프로필렌을 중합하여 합성 중간체인 폴리프로필렌을 만드는 데 대부분 사용되며,필름, 성형 제품, 폴리 프로필렌 수지, 우레탄 수지, 합성섬유 등의 제품으로 가공

- 나프타가 분해될 때 얻어지는 C4 유분에는 뷰타-1, 3-다이엔이 35%, 아이소뷰틸렌이 30%, 그 외 뷰틸렌의 이성질체들, 노말뷰테인, 아이소뷰테인 등이 있다.
- 합성 고무를 만드는 데 사용되며 나일론, 가솔린의 첨가제로도 사용

- 벤젠, 톨루엔, 자일렌을 통칭하는 이름이 흔히 BTX
- 방향족 화합물은 주로 중질 나프타를 접촉 개질하여 얻으며 개질물들은 C6 ~ C8의 방향족들이 풍부하여 에틸렌 글라이콜이나 설폰산 등의 용매를 사용하여 추출할 수 있다.
- 주로 수지, 염료, 의약, 화약 등의 제조에 사용
(2) 에틸렌계 제품
- 에틸렌으로부터 석유 화학 제품을 제조하는 것
- 1920년 미국에서 시작되어 1960년 이후로는 석유 화학 제품의 원료로 에틸렌이 광범위하게 사용


- 에틸렌을 원료로 하는 가장 오래된 석유 화학 제품의 하나
- 산화에틸렌 최초 생생 공정은 클로로히드린(chlorohydrin)공정
- 에틸렌을 염소, 물과 반응시켜 에틸렌클로로히드린과 염화수소의 수용액을 만들고 산화칼슘으로 처리하여 산화에틸렌을 제조

- 1930년에는 은 촉매를 사용하여 공기 또는 산소로 직접 산화하는 방법, 반응 온도는 200 ~ 300℃, 압력은 10 ~ 20atm

- 에틸렌크리콜, 계면 활성제, 에탄올아민, 폴리에틸렌클리콜 등의 제조 원료로 사용

- 산화에틸렌과 촉매없이 200℃, 12atm에서 제조
- 소량의 황산(0.5%)을 물에 가하면 가압하지 않고 70℃에서 반응이 이루어짐
- 산화에틸렌 소모량의 60%가 에틸렌글리콜 제조에 사용됨

- 산화에틸렌은 에틸렌글리콜과 계속 반응하여 디에틸렌글리콜과 트리에틸렌글리콜, 폴리에틸렌글리콜이 부산물로 제조

- 에틸렌글리콜과 생성된 소량의 폴리글리콜은 증류에 의해 분리시킨다.
- 폴리에스테르계 섬유, 합성 수지의 원료, 내연 기관의 부동액에 사용

- 1960년대까지는 에탄올의 탈수소와 아세틸렌의 수화 반응을 이용하여 제조

- 근래는 에틸렌을 액상 산화시키는 방법을 사용, 묽은 염산 용액에서 염화팔라듐과 염화구리 용액이 촉매로 사용되는 공정

- 용도는 아세트산의 제조, 아세트산에틸 등의 많은 유도체를 제조하는 원료로 사용


- 아세트산망간을 촉매로 하여 60℃에서 아세트산알데히드를 산화시켜 제조

- 이 밖에 메탄올과 일산화탄소의 반응인데, 로듐 촉매를 사용하교 요오드를 조촉매로 하여 20atm, 175 ~ 200℃에서 반응시켜 제조

- 용도는 아세트산비닐, 아세테이트 섬유와 아세트산에스테르와의 반응으로 만들어지는 에스테르가 있는데, 각종 접착제 도료의 용제로 많이 사용

- 에틸렌과 수소의 아세테이트 이온으로 치환하는 반응으로 제조

- 과거에는 촉매로 산화아연을 사용하여 아세틸렌과 아세트산을 산화시켜 제조

- 용도는 합성 섬유 비닐론, 폴리비닐알코올, 접착제, 도료 종이, 사이징제의 원료로 사용


그림 염화비닐의 제조 공정
가. EDC(ethylene dichloride)법

나. 옥시염소화(oxychlorination)법

다. 아세틸렌(acetylene)법


- 염화비닐 또는 EDC를 염소화시켜 1,1,2-트리클로로에탄으로하고, 여기에 알칼리로 탈염소화수소를 시켜 제조

- 용도는 포장용 필름이나 난연성 섬유 합성의 원료로 사용

- 수천년 동안 탄수화물을 발효시켜 제조
- 현재는 대부분 에틸렌을 수화시키는 방법으로 제조, 황산과 기상 접촉법이 있다.
- 용도는 아세트알데히드 제조, 화장품, 음료, 위생 용품 공업 등에 사용
가. 황산법
- 에틸렌과 황산을 반응시켜 황산에스테르를 가수 분해시켜 제조

나. 기상법
- 에틸렌과 수증기를 고체 담체에 진한 인산을 함유한 촉매와 기상에서 직접 반응 시켜 제조

(3) 프로필렌계 제품
- 프로필렌(prophylene)은 에틸렌 다음으로 많이 사용되는 석유 화학 제품의 원료


① 클로로히드린법
- 프로필렌에 차아염소산(HClO)을 반응시켜 α-프로필렌클로로히드린을 만든 후 수산화칼륨을 반응하여 탈염화수소를 시켜 제조

② 할콘법(하이드로퍼옥사이드에 의한 에폭시화)
- 하이드로퍼옥사이드와 프로필렌을 반응시켜 산화프로필렌과 함께 알코올을 얻는다.

③ 과아세트산법
- 아세트알데히드를 공기로 산화시켜 과아세트산을 만들고, 프로필렌을 산화시켜 산화프로필렌을 제조



- 폴리에스터 수지, 폴라우레탄 수지, 화장품의 원료로서 보습제의 가장 대표적인 성분이고 무색의 투명한 친수성 액체로 단맛이 나는 특성이 있으며,발효 억제력을 가지고 있어 외부 균에 의해 화장품이 변질되 는 것을 막아주는 역할

- 프로필렌을 황산과 반응시킨 후, 가수 분해시켜 제조

- 텅스텐산계 촉매를 사용하여 액상의 프로필렌을 황산과 반응시켜 합성한 후 가수 분해시켜 제조

- 용제,부동액, 소독약(70%), 이 밖에도 아세톤(acetone) 제조의 중간체로 이용

- 프로필렌을 직접 Pd-Cu 촉매로 산화시켜 아세톤 제조

- 이소프로알코올은 공기 산화시켜 과산화수소와 아세톤을 함께 생산하는 방법

- 아세톤은 용제, 메타크릴산메틸(MMA), 비스페놀 A의 합성 원료로 사용

- 아세틸렌에 신안화수소산을 부가시켜 합성하였지만 요즘은 프로필렌을 암모니아, 공기 산화하는 암모산화법(Sohio법 : 소하이오)이 개발, 촉매는 MoO3-Bi2O3-Fe2O3, 또는 Si2O3-Fe2O3-TeO2등 사용

- 3대 합성 섬유라고 하는 폴리아크릴계 합성 섬유인 아크릴 섬유, ABS 수지의 주요 원료

- 과거에는 아세틸렌 일산화 탄소 물을 니켈 촉매 아래에서 반응시키는 레페법과 아크릴로나이트릴의 가수 분해법 등이 사용되었지만, 최근에는 프로필렌의 촉매에 의한 직접 산화법이 널리 사용

- 아크릴산은 도료, 접착제, 합성수지의 원료로 사용

- 부틸알데하이드는 프로필렌에 일산화 탄소와 수소를 반응시키는 옥소 합성법(oxosynthesis)으로 제조, 촉매로는 일산화 탄소를 쓰지만 최근에는 활성이 높은 로륨을 사용
- 옥소 합성법은 올레핀계 탄화수소와 일산화 탄소, 수소와의 접촉 반응으로, 원료 올레핀보다 탄소 수가 하나 더 많은 포화 알데하이드를 얻는 공정

- 알데하이드는 n-부틸알코올과 이소부틸알코올을 만드는 데 사용

- 용도는 용매뿐만 아니라 가소제의 원료, 윤활유의 첨가제로 사용

- 유지를 가수 분해하여 얻었지만, 요즈음은 프로필렌을 염화 알킬화하고 하이포아염소산(차아염소산)을 부가시키면 다이클로로하이드린이 되는데, 이것을 단계적으로 가수 분해시켜서 제조

- 최근에는 프로필렌을 산화시켜 산화프로필렌을 만들고 이것을 알릴알코올(alllyl alcohol)로 이성질시킨 다음, 하이포아염소산을 부가시켜 가수 분히하여 글리세롤을 제조

- 알키드수지, 화약 원료, 화장품, 담배의 보습제 등에 사용

- n-부틸알데하이드를 알코올 축합하고 이것을 탈수 환원하여 제조

- 주요 용도는 가소제와 계면 활성제의 원료로 사용
(4) 방향족 탄화수소계 제품
- 벤젠, 툴루엔, 자일렌은 주로 용제로 사용되지만, 유기 화합물의 합성용 기초 원료로도 많이 사용


그림 벤젠을 원료로 하는 주요 합성 계통도
① 사이클로헥세인(cyclohexane)
- 석유 유분에서 얻을 수 있으나, 양이 적으므로 벤젠을 니켈 또는 백금 촉매로 수소화시켜 만든다.

② 아디프산(adipic acid)
- 아세트산 용매에서 아세트산코발트를 촉매로 사이클로헥세인을 90℃에서 액상 산화시켜 만든다.

된다.
③ 페놀(peenol)
- 벤젠을 원료로 하여 벤젠설폰산냐트륨의 알칼리 용융 방법과 클로로벤젠을 알칼리로 가수 분해하는 방법이 있으며 최근에는 쿠멘(cumene)법으로 제조
- 쿠벤법은 벤젠을 인산 또는 염화알루미늄 촉매로 프로필렌으로 알킬화시켜 만든 쿠멘(아이소프로필벤젠)을 액상에서 공기 산화시켜 쿠멘하이드로퍼옥시드로 만든 다음,황산으로 분해시키는 과정을 거쳐 페놀을 만드는 방법

- 페놀 수지, 폴리아마이드계 수지의 원료로 수요량이 많으며 의약, 화약 등의 원료로도 중요
④ 에틸벤젠(ethylbenzene)과 스타일렌(styrene)
- 에틸벤젠
- 벤젠에 염화알루미늄이나 고체 인산, 제올라이트, 플루오르화붕소 알루미나 등을 촉매로 사용하여 에틸렌을 작용시켜 제조

- 스타일렌
- 에틸벤젠을 산화제이철-산화크롬계 촉매를 사용하여 탈수소화시켜 제조




그림 톨루엔을 원료로 하는 주요 합성 계통도
① 벤젠(benzene)
- 톨루엔(toluene)은 생산량에 비해 용도가 적으므로 탈알킬화시켜 벤젠을 제조

② 벤조산(benzoic acid)
- 톨루엔을 아세트산코발트 촉매를 시용하여 산화시켜 제조

- 나트륨염으로 전환하여 식품 방부제, ε-카프로락탐, 페놀, 태레프탈산의 원료로 사용
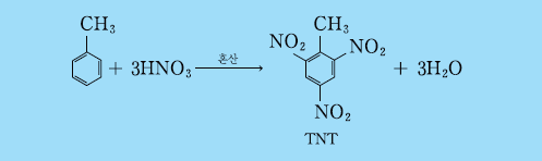
③ 트라이나이트로톨루엔(trinitrotoluene: TNT)
- 톨루엔에 질산과 황산이나 아세트산의 혼합산을 사용하여 3단계 반응을 거쳐 제조

- 폭발성 화합물로서 대체로 군용 및 공업용으로 사용
④ 톨랄렌다이아이소사이안산(tolyenediisocyanate)
- 툴루엔을 니트로화한 다음 환원시켜 다이아민을 만틀고, 포스겐을 작용시켜 제조



그림 자일렌을 원료로 하는 주요 합성 계통도
① 프탈산무수물(phthalic anhydride)
- 자일렌을 오산회바나륨 촉매 로 공기 산화시켜 제조

- 폴리염화바이닐의 가소제, 폴리에스터 수지, 얄카드 수지의 원료로 사용
② 아이소프탈산
- m-자일렌을 아황산암모늄으로 산화시켜 제조
- 프탈산 무수물과 같이 불포화 폴리에스터, 알키드 수지 및 가소제의 제조에 사용
③ 테레프탈산(terephthalic acid)
- p-자일렌이 질산 산화법, 액상 공기 산화법 등으로 제조, 현재는 주로 액상 공기 산화법으로 제조

(5) C4 탄화수소계 제품
- C4 화합물의 최대 용도는 합성고무의 제조
- 합성고무는 천연고무의 부족을 보충하기 위해 1930년대 이래 개발되었으며, 주로 뷰타다이엔, 클로로프렌, 아이소프렌 등을 원료, 특히 아이소프렌계 고무는 천연고무와 같은 화학 구조
① 메틸에틸케톤(methyl ethyl ketone, MEK)
- 1-뷰텐과 2-뷰텐 혼합물을 황산으로 처리하고 수화시키면 2-뷰탄올 제조, 이것을 탈수시키면 메틸에틸케톤 제조
- 주로 바이닐과 아크릴 코팅, 접착제의 용매 등으로 사용

② 이차부틸알코올(sec-butyl alcohol) 및 삼차부틸알코올(t-butyl alcohol)
- 이차 부틸알코올은 n-부탄을 탈수소시켜 얻는 1-부텐이나 2-부텐에서 황산법으로 제조

- 이 방법으로는 이소부틸렌에서 삼차부틸알코올 제조

- 이차부틸알코올은 합성 향료, 메틸에틸케톤의 원료 및 페인트, 용제로 사용되고, 삼차부틸알코올 용제 및 페놀 수지의 원료로 사용
③ 아밀알코올(almy alcohol)
- n-부틸렌의 옥소 합성법으로 만들어지는 알데히드를 환원시켜 제조

④ 메타크릴산(methacrylic acid)
- 메틸에스테르는 아세톤에 시안화수소를 작용시켜 만드는 아세톤시안히드린법으로 제조

- 시안화수소와 황산을 사용하기 때문에 이소부틸렌을 몰리브덴계 촉매를 사용하여 직접 2단 산화시키는 방법으로 바뀌어 가고 있다.


- 메탄올로 에스테르화시킨 메타크릴산메틸은 투명성, 내광성, 내충격성이 우수하여 유리 제조의 원료로 사용
⑤ 아이소프렌(isoprene)
- C5 유분 중에 들어 있는 아이포펜타인, 이소펜텐을 산화철 또는 알루미나-산화크롬 촉매를 사용하여 탈수소

- 프로필렌을 트리프로필렌알루미늄 촉매로 이량화시켜 2-메틸-1-펜텐을 만들고, 이것을 이성질화시킨 다음 열분해하여 탈메테인화

- 아이소부틸렌과 포름알데히들 원료로하여 프린스(prins) 반응으로 4,4-디메틸렌-1,3-디옥산을 만들어 가수 분해


⑥ 클로로프렌(chloroprene)

- 현재는 부티이엔으 염소화법이 널리 이용, 부타디엔을 염소화시켜 3, 4-디클로로-1-부텐으로 이성질화 시킨 후 탈염소화


강해져라, 인생은 원래 힘들다 3분 6초


